
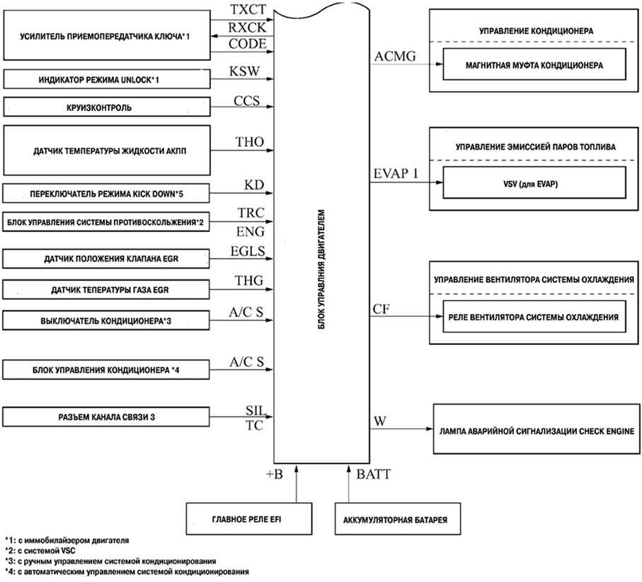
Схема конфигурации системы управления двигателя 1MZ-FE Toyota Camry (часть 1)

Схема конфигурации системы управления двигателя 1MZ-FE Toyota Camry (часть 2)

Диаграмма системы управления двигателем 1MZ-FE Toyota Camry:
1 – выключатель зажигания;
2 – выключатель нейтрали;
3 – реле отключения цепи;
4 – главное реле EFI;
5 – топливный насос;
6 – аккумуляторная батарея;
7 – лампа аварийной сигнализации.
Источник: http://carmanz.com/toyota/camry-2001-2006/230802-tc2001416.html
Снятие крышки головки блока цилиндров двигателя модели 1MZ-FE Toyota Camry 2001 - 2006
1 - 3 ч
[[ article.getBookmarkIcon() ]]
Инструмент
Установка балансирных валов Toyota Camry 2001 - 2006
3 - 6 ч
[[ article.getBookmarkIcon() ]]
Яма / Эстакада
Таблица 2.28 Добавленные коды неисправности (DTC) Toyota Camry 2001 - 2006
[[ article.getBookmarkIcon() ]]
Установка нижней части масляного поддона Toyota Camry 2001 - 2006
1 - 3 ч
[[ article.getBookmarkIcon() ]]
Инструмент
Таблица 2.31 Данные для обслуживания механической части двигателя 1МZ-FE Toyota Camry 2001 - 2006
[[ article.getBookmarkIcon() ]]